章传银,1,2,3, 王伟,1,2,3, 蒋涛1,2,3
1.中国测绘科学研究院空间基准全国重点实验室,北京 100036
2.北京房山人卫激光国家野外科学观测研究站,北京 100036
3.中国测绘科学研究院,北京 100036
摘要
地球质心与形状极是描述和度量地球自转运动的大地测量基准。地球内部质量调整和物质运动无法准确测量,导致由地球物理流体数据推算的地球自转激发函数存在不确定性,制约了地球自转动力学机制的深入研究。本文通过统一大地测量和地球自转运动的地固参考系基准,解析各种大地测量要素的地球形状极变化与自转运动效应,从而发展空间几何物理大地测量协同的地球质心、形状极与多种自转动力学参数联动的监测方法,为深入研究地球自转的激发动力学机制与地球各圈层相互作用营造更有利的科学技术条件。本文主要结果包括:①推导出空间几何物理大地测量协同的地球质心与形状极定位理论,既能精密监测地球质心变化与形状极移时间序列,也能将当前地固参考系定位定向到指定时间段内的平质心和平形状极。②给出了地球卫星观测、VLBI运动学测量、地面站点径向位移和重力变化协同的地球质心、形状极与多种自转动力学参数联动的监测模型和算法,以改善地球自转动力学机理研究的约束条件。
关键词
基金项目
国家自然科学基金(42474012;42074020); 中国测绘科学研究院基本科研业务费(AR2401)(AR2405)
作者简介
第一作者:章传银(1968—),男,博士,研究员,博士生导师,研究方向为大地测量与地球动力学。E-mail:zhangchy@casm.ac.cn
通信作者:王伟 E-mail:wangwei@casm.ac.cn
本文引用格式
章传银, 王伟, 蒋涛. 地球质心、形状极与多种自转动力学参数联动的监测方法
[J]. 测绘学报, 2025, 54(7): 1157-1169 doi:10.11947/j.AGCS.2025.20250141
阅读全文
http://xb.chinasmp.com/article/2025/1001-1595/1001-1595-2025-07-1157.shtml
地球质心与形状极是描述和度量地球自转运动的大地测量基准,地球形状极随时间变化(以下称“形状极移”)表征了地球内部质量调整(负荷变化)导致的地球惯性张量变化,是地球自转运动的负荷变化激发角动量[1]。地球内部负荷变化与物质运动是地球物理激发的两种形式,具有相关联的频率和相位特征。通过对比大地测量信号和地球物理流体数据推算的激发函数,检测、模拟和研究地球物理激发角动量在海陆气及地球各圈层间的交换与耦合过程,探索地球自转激发动力学机制,是地球自转动力学研究的重要技术途径[2]。
地球自转运动方程在以平均形状轴为主轴的地固参考系中表达,目前国际上由空间大地测量技术测定的地球自转极移,是以国际地球自转与参考系统服务IERS参考极(国际地球参考系ITRS地极)为基准,然而研究显示,IERS参考极已偏离最近20年的平均形状极超过30 m[3]。地球内部负荷变化和物质运动无法准确测量,导致由地球物理流体数据推算的激发函数存在不确定性,制约了地球自转动力学机制的深入研究,若能直接精准测量地球物理激发函数,无疑具有重大科学意义。地球自转运动与形状极移分别表征地球系统的运动学状态和力学平衡形状随时间变化的行为,都是客观存在的自然现象,两者都会引起地球空间各种大地测量要素随时间变化,因此多种大地测量技术协同,具备地球形状极和自转动力学参数联动的监测能力。
本文依据物理大地测量学原理,提出几何物理大地测量协同的地固参考系定位定向理论和方法,进而通过统一大地测量和地球自转运动的地固参考系基准,解析各种大地测量要素的地球形状极变化与自转运动效应,从而发展空间几何物理大地测量协同的地球质心、形状极与多种自转动力学参数联动的监测方法,以改善地球自转动力学约束条件,为揭示地球自转激发动力学机制与地球各圈层相互作用,营造更为科学的试验条件和监测环境。
1 地球形状极精密定位与自转激发动力学
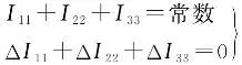
1.1 地球参考系中自转轴与形状轴及其表达
在以平均形状轴为主轴的地固参考系Oxyz中,地球的瞬时自转轴Ω(t)和瞬时形状轴T(t)可表示为
(1)
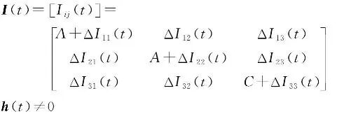
式中,ω、μ分别为自转角速度和瞬时形状轴的模;(m1,m2,1+m3)、(μ1,μ2,1+μ3)分别为Oxyz中自转轴和形状轴的方向余弦;(m1,m2,m3)为地球自转参数(Earth rotation parameter,ERP)。
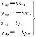
地球自转极(m1,m2)和形状极(μ1,μ2)也可在平面极坐标系中表达。
坐标系的原点为平均形状极U,m1、μ1指向Oxyz中的x轴方向,m2、μ2指向Oxyz的-y轴
方向。自转极和形状极在Oxyz中坐标分别为(xrtp,yrtp,b)和(xsfp,ysfp,b),则有
(2)
1.2 地球定位定向与形状极移监测的物理大地测量学理论
在任意定位定向的地固参考系Oxyz中,地球外部引力位V(r,θ,λ)都可用球谐级数表示为
(3)
式中,GM为地心引力常数;a为地球长半轴;为n阶m次规格化位系数;
为n阶m次规格化勒让德函数;
为n阶m次规格化面球函数。
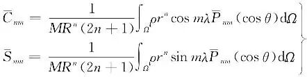
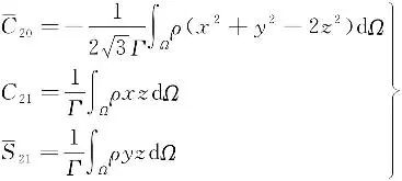
式(3)等号右边由4项构成,分别是零阶项(n=0)、一阶项(n=1)、二阶项(n=2)和阶数大于2的项(n>2)。而位系数按定义可直接表达为地球内部密度分布的积分形式
(4)
式中,R为地球平均半径;M为地球总质量。
将球坐标变换为空间直角坐标,由式(4)得
(5)
(6)
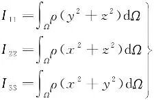
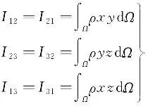
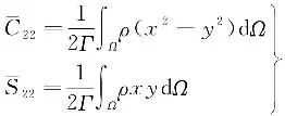
式中,。用三阶对称矩阵I3×3表示地球在其质心O的转动惯量,称为地球惯性矩阵,根据物理学定义,它在Oxyz中的各元素分别为
(7)
(8)
比较式(5)—式(8),可得惯性矩阵元素与二阶位系数之间的解析关系为
(9)
(10)
考察引力位球谐展开式(3)。当n=1时,m=0,1,有
(11)
式中,(xcm,ycm,zcm)为Oxyz中地球质心的三维坐标[4]。
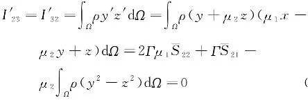
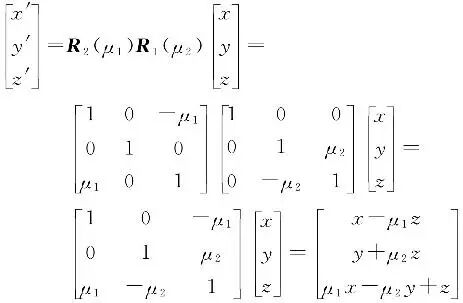
当n=2时,m=0,1,2。令地球内部流动点在Oxyz中的坐标为(x,y,z),将Oxyz转换为主惯性轴参考系Ox′y′z′后,流动点坐标变为(x′,y′,z′),因此
(12)
式中,R1(·)、R2(·)分别为绕x轴和y轴的基本旋转矩阵。
主惯性轴参考系Ox′y′z′中,地球的惯性矩阵I′为对角阵,非对角线元素等于零,因此有
(13)
联合式(5)和式(6),得
(14)
将式(14)代入式(13),得
(15)
同理,可得
(16)
联合式(15)和式(16),可得
(17)
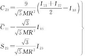
最后,将式(17)代入式(2),可得由二阶位系数确定形状极坐标的公式为
(18)
地球外部引力位V是自然客观的物理量,其数值与Oxyz定位定向的选择无关。在任意定位定向的地固参考系中,构造以球面坐标(θ,λ)为自变量的面球函数基{Ynm(θ,λ)},将引力位V表达为面球函数基的泛函级数式(3)。改变地固参考系定位定向后,整个面谐函数基取值也会随之改变。要保持引力位值不变,位系数必然要随面球函数基{Ynm(θ,λ)}的不同取值而改变。
可见,式(11)是由一阶位系数实测值测定地球质心坐标(xcm,ycm,zcm)的公式;式(18)为由二阶位系数实测值
测定形状极坐标(xsfp,ysfp)的公式。
将表1中EGM2008模型的二阶位系数代入式(18)得xsfp=4.698-0.632=4.066 m,ysfp=-31.482-0.094=-31.576 m。注意到EGM2008的二阶位系数为全球卫星激光测距(SLR)网多颗卫星10余年观测数据在ITRS中的平均综合解,本文因此测得平均形状极在ITRS中的坐标为(4.066,-31.576,b)m。这表明,IERS参考极偏离该平均形状极已超过了30 m。
表1 EGM2008地球重力位模型的二阶位系数值
Tab. 1

对式(18)两边进行时间差分,考虑位于分母,且一般情况下
的时间变化
,可令
为常数,从而
(19)
式中,两个等式的右边,第1项是主项,第2项约为第一项的1‰,忽略第2项,有
(20)
可见,形状极移的主要贡献是二阶一次位系数变化。
地球惯性矩阵I的对角线之和是不变的常数,由此可得
(21)
对式(9)两边差分,顾及式(20)和式(21)得
(22)
1.3 地固参考系中形变地球自转激发动力学
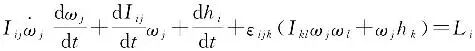
在地固参考系Oxyz中,地球自转的角动量方程为[5]
(23)
式中,L(t)为作用于地球的内外力矩。角动量H(t)可写成两部分之和:①地球内部质量调整引起地球惯性张量I(t)改变所产生的角动量变化;②地球内部物质运动引起的相对角动量h(t)变化。即
(24)
地球表层大气、海洋、地表水与内部圈层等负荷变化,激发地球形变,引起地球惯性张量I(t)随时间变化,为地球负荷变化激发;同时地球内部物质相对地固参考系运动,引起角动量h(t)随时间变化,为地球物质运动激发。因此,对于一般形变地球
(25)
式中,A为赤道惯性矩;C为极惯性矩。
将式(25)代入式(24),再代入式(23)得
(26)
式中,εijk为交变张量。当i、j、k正序排列时,εijk=1;当i、j、k逆序排列时,εijk=-1;当i、j、k中任意两个指标值相同时,εijk=0。
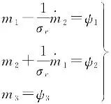
式(26)是地固参考系中形变地球自转的欧拉-刘维尔方程。为方便研究地球自转变化的地球物理激发机制,通常令内外力矩等于零,即Li=0,将式(1)代入式(26),可得无受迫的形变地球自转运动方程为
(27)
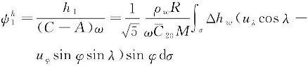
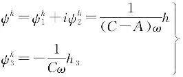
式中,ψ1、ψ2、ψ3分别为地球物理激发函数,其量纲与(m1,m2,m3)、(μ1,μ2,μ3)完全相同,是归一化的角动量;忽略内外力矩后,σr不再是严格意义上的欧拉角频率(C-A)/A。
根据式(26),可将地球物理激发函数表达为
(28)
(29)
式中,为负荷变化激发函数;
为物质运动激发函数。
将式(22)代入式(28),得由实测二阶位系数确定的负荷变化激发函数为
(30)
1.4 地球定位定向的空间大地测量协同监测方法
由物理大地测量学可知,式(11)—式(13)成立的必要条件是,地球质心坐标、形状极坐标和面球函数基同属于某个唯一不变的地固参考系。下面简要介绍在任意定位定向的地固参考系中空间几何物理大地测量协同的瞬时地球质心与形状极定位技术流程。
(1)选择全球适当分布的卫星地面观测站,组成地固参考系Oxyz框架网(或参考系基准网),由空间大地测量观测数据,采用无旋转无平移基准几何约束(维持Oxyz唯一性),解算这些站点在Oxyz中历元tk的三维坐标,以将面球函数基表达于Oxyz中。
(2)综合多颗卫星观测数据,由卫星观测站在历元时的坐标解(传递Oxyz),按动力学方法,解算Oxyz中历元一阶和二阶位系数。
(3)将一、二阶位系数解代入式(11)和式(18),求得历元tk地球质心与形状极在Oxyz中的坐标和
。
由参考系基准网、地球质心和形状极的坐标解时间序列,分别计算基准网点坐标的平均值、平地球质心坐标
和平形状极坐标
,并进行如下坐标参考系转换
(31)
式中,i=1,2,…,M,M为基准网点数。
经式(31)坐标参考系转换后,参考系基准网新的平均坐标集实现了地固参考系的定位定向,原点位于平地球质心,z轴指向平形状极。
本节给出的方法既能精密测定地球质心变化与形状极移时间序列,也能将当前地固参考系定位定向到指定时间段内的平质心和平形状极。在重新定位定向后的地固坐标参考中,地球自转极移等于瞬时自转极与该平均形状极的坐标差,平均形状轴就是地球自转极移的大地测量基准。因此,地球自转极移本质上也是地面坐标参考框架的产品,而不直接影响地固参考系的定向和地面坐标参考框架的实现和维持。
考察整个技术流程可知,该方法不依赖地球动力学协议或地球自转运动,完全独立由大地测量学理论,科学自洽地实现地球参考系。
2 地球形状极移的自转形变效应
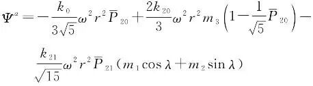
2.1 地球形状极移的自转形变效应原理及计算
地球自转变化会伴随离心力位变化,而离心力位变化激发固体地球形变,引起地球内部质量调整,产生附加位。根据狄利克雷(Dirichlet)原理,二阶重力位的自转形变效应,等于自转离心力位及其在二阶体潮勒夫数作用下的附加位之和。
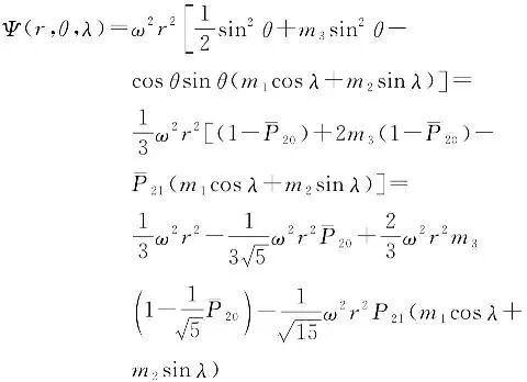
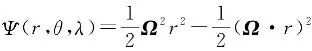
在以平均形状轴U为z轴的地固坐标系中,自转离心力位Ψ(r,θ,λ)可表达为
(32)
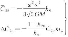
将瞬时自转角速度Ω代入式(32),记,得
(33)
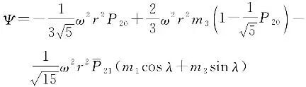
式中,右边第1项ω2r2/3在地球各点产生一个完全对称的径向变化;第2项不随时间变化,可认为是长期作用于固体地球的永久效应;其余各项则是由于地球自转变化引起的周期性变化。第1项对自转极移没有贡献,直接去掉后得
(34)
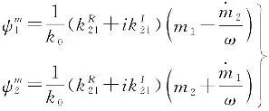
离心力位变化激发的附加位,分别由相应阶次体潮勒夫数作用于式(34)各项后产生
(35)
式中,k0为长期勒夫数;k20、k21分别为长周期和周日勒夫数。
此外,由引力位球谐展开式,可得二阶引力位为
(36)
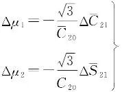
Dirichlet原理假设自转变化产生的重力位变化ΔU=Ψ+Ψa,等于二阶引力位变化ΔV2,记m=m1+im2,因此由式(34)—式(36),可得
(37)
(38)
式(37)中第一式,是物理大地测量方法测定长期勒夫数的算法公式。将EGM2008模型的值代入,得
(39)
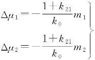
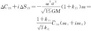
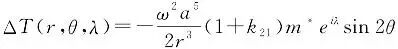
式(37)第二式表达自转速率变化引起的二阶带谐位系数变化,式(38)表达地球形状极移的自转形变效应。
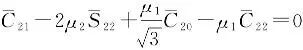
将式(38)代入式(20),可得地球形状极移的自转形变效应算法公式为
(40)
值得注意的是,式(20)中的形状极移(Δμ1,Δμ2)和自转极移(m1,m2)都是以唯一的地固坐标参考系的参考极(如IERS参考极)为基准度量的,式(40)等号右边的负号表示自转极绕参考极运动与形状极绕参考极运动的方向相反。
2.2 实测形状极移与自转极移的对比分析
从IERS地球定向产品EOPC04中提取2015年1月—2022年12月自转极移时间序列,转换为ITRS自转极坐标变化时间序列;同时,由美国得克萨斯大学空间研究中心SLR二阶一次位系数变化时间序列产品,计算2015年1月—2022年12月形状极坐标变化时间序列。移去8年平均值后,一起绘制自转极坐标变化和形状极坐标变化(单位为m)时间序列曲线,如图1所示。
图1 2015年至2022年IERS实测自转极坐标和SLR实测形状极坐标
Fig. 1 Earth's rotation polar coordinates form IERS and figure polar coordinates using SLR from 2015 to 2022
图1的实测结果显示,自转极移振幅一般是形状极移振幅的数倍以上,形状极移与地球负荷变化一样,频谱分布广泛,形状极移时间序列曲线因此相当复杂,而自转极移信号长周期和超长周期占优,时序曲线简单,自转极绕平均形状极U(图1中原点)近似圆形旋转。
3 形状极与自转动力学参数协同监测方法
地球质心变化、形状极移与自转极移都是客观存在的自然现象,都会引起地球空间各种大地测量要素随时间变化。研究这些大地测量要素的形变效应,是联合多种大地测量,建立地球质心、形状极与多种自转动力学参数协同监测模型的理论基础。
3.1 大地测量要素的地球自转极移形变效应
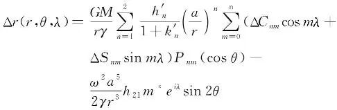
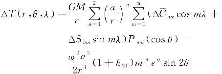
地球空间中任何大地测量要素都存在自转极移形变效应。顾及,可得外部重力位的自转极移形变效应(卫星轨道摄动位)的算法公式为
(41)
式中,eiλ=cosλ+i sinλ;m*=m1-im2为自转极移m的复共轭。
同理,地面重力的自转极移形变效应算法公式为
(42)
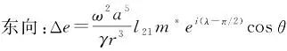
地面站点位移自转极移形变效应算法公式为
(43)
(44)
(45)
自转极移形变效应计算结果取上述算法公式右边复数结果的实部。
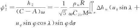
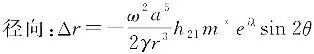
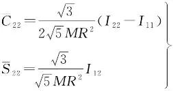
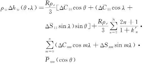
3.2 大地测量要素的地球形状极移形变效应
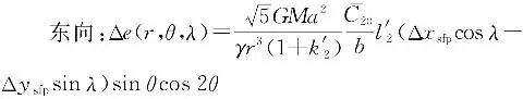
地球负荷变化及其激发的形状极移,与各种大地测量要素的形状极移效应,都具有相同的频率和相位特征。令n=2,m=1,可得外部重力位的形状极移形变效应(卫星轨道摄动位)公式为
(46)
地面重力的形状极移效应计算公式为
(47)
式中,、
分别为二阶位和径向负荷勒夫数。
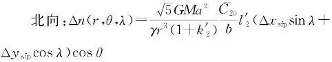
地面站点位移的形状极移效应计算公式为
(48)
(49)
(50)
式中,为二阶水平负荷勒夫数。
3.3 自转极移效应与形状极移效应对比分析
由美国得克萨斯大学空间研究中心SLR二阶一次位系数变化时序,按式(19)计算ITRS中形状极坐标变化(Δxsfp,Δysfp)时序,同时用IERS地球定向产品EOPC04,将自转极移按式(2)转换为ITRS中自转极坐标变化(Δxrtp,Δyrtp)。时间跨度为2014年1月—2024年12月,分别移去11年平均值后一起绘制时序曲线,以显示形状极移和自转极移的联动特性,如图2所示,单位为m。
图2 实测地球形状极移时序与实测自转极移时序对比
Fig. 2 Comparison of time series between Earth's figure polar shift and rotation polar shift
取,
,
,
,b=6 356 751.655 m,由形状极移时间序列,按式(46)—式(51),计算地面点P(10.50°E,32.0°N,72 m H)处,大地水准面、地面重力和地面位移的形状极移效应时间序列。取周日体潮勒夫数k21=0.307 7+0.003 6i,h21=0.620 7,l21=0.083 6,由自转极移时间序列,按式(41)—式(45),计算该点处相同大地测量要素的自转极移效应时间序列。将全部形变效应时序曲线一起绘制,以显示大地水准面、地面重力和地面位移的形状极移效应和自转极移效应的联动特性。如图3和图4所示,图3中大地水准面的形状极移效应与自转极移效应的单位为mm,地面重力的形状极移效应与自转极移效应的单位为μGal,图4中地面东向位移的形状极移效应与自转极移效应的单位为mm。
图3 大地水准面与地面重力的形状极移效应时序与自转极移效应时序对比
Fig. 3 Comparison of time series between Earth's figure polar shift and rotation polar shift effects on geoid and terrestrial gravity
图4 地面位移的形状极移效应与自转极移效应时序对比
Fig. 4 Comparison of time series between Earth's figure polar shift and rotation polar shift effects on terrestrial displacement
地面重力的自转极移效应一般是其形状极移效应的十倍,因此,地面重力观测可用于监测自转极移,但不宜用于监测形状极移。由图4可知,自转极移对地面站点水平位移较小,且构造运动影响一般难以有效分离。自转极移、形状极移对垂线偏差或水平梯度等水平大地测量要素的影响也很小。水平大地测量监测量因此一般不宜用于监测自转极移和形状极移。
3.4 形状极移与自转极移协同监测算法
严格统一于某一不变的地固参考系(如ITRS)中的多种大地测量技术,可实现地球质心、形状极与多种自转动力学参数的协同监测。不失一般性,令待监测的自转动力学参数Y由一、二阶位系数变化、地球自转参数(m1,m2,m3)与其他参数β构成
(51)
3.4.1 基于大地测量要素形变效应观测模型
3.4.1.1 大地测量卫星轨道摄动观测模型
图3显示,大地测量卫星对超低阶位系数,尤其是对地球自转极移比较敏感,这些卫星的SLR或GNSS观测可用于协同监测一、二阶位系数变化和自转极移。以这些卫星的引力位摄动为观测量,可构成如下的参数化观测模型
(52)
式中,m*=m1-im2为自转极移m的复共轭。
3.4.1.2 全球ITRF核心站径向位移观测模型
以能有效分离或抑制非负荷垂直形变为原则,从国际地面参考框架ITRF核心站中选择径向位移年变化精度不低于1 mm/a站点,可构建站点径向位移参数化观测模型
(53)
地球质心变化(n=1)本质上是地球内部质量调整产生的负荷形变效应,影响地球空间所有几何物理大地测量要素,不宜理解为地固参考系原点的几何平移。而地固参考系原点采用1.4节无平移基准几何约束维持,与地球负荷调整激发的地球质心变化或其形变效应均没有直接关系。
3.4.1.3 全球超导重力固体潮站观测模型
图2显示,1 μGal精度水平的地面重力变化可有效捕获地球自转极移信号,然而地面重力变化信号中地球质心效应和形状极移效应微弱。若以全球超导重力站重力变化为观测量,可构成以自转极移为参数的观测模型
(54)
3.4.2 地球自转参数的VLBI运动学观测模型
地球自转参数运动学观测方程,可通过线性化地心天球参考系GCRS与ITRS转换矩阵导出。设已知岁差章动模型,可得以mi(i=1,2,3)为参数的甚长基线干涉(VLBI)参数化观测模型[6]
(55)
式中,v为ITRF坐标x的改正数;N0为常数项,由已知岁差章动模型和站点分别在地心天球参考框架GCRF和ITRF中的坐标X、x计算。
采用无平移无旋转基准几何约束(维持ITRS唯一性),由空间大地测量数据,解算国际VLBI网站点在历元tj时刻的ITRF坐标xj;用VLBI技术测定这些站点在历元tj时刻的GCRF坐标Xj;由同步历元的ITRF坐标xj和GCRF坐标Xj,按式(55)构成参数化观测模型。
3.4.3 多种观测系统深度融合法参数估计方案
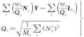
上述多种参数化观测模型,协方差结构差异明显,采用一般统计优化组合很难获得稳定估计。这里推荐一种通过归一化不同组协方差结构的深度融合法参数估计方案。如,可将大地测量卫星按GNSS星座、高轨SLR、中轨SLR、低轨SLR、星载GNSS、Lageos系列分成6组,将ITRF核心站径向位移、全球超导重力观测、VLBI运动学观测独立成组,共9组(S=9),分别按最小二乘法构建法方程,进而进行规范化组合,得到组合后的法方程
(56)
式中,为第s组法方程系数阵对角线第i(≤Ms)个非零元素,Ms为第s组法方程系数阵对角线的非零元素个数;ws为第s组的权,用于区别不同组的观测质量;Qs为第s组法方程系数阵对角线非零元素的均方根。
组合参数δs=Qs/ws,将观测系统模型(协方差阵)与观测质量ws对组合参数δs的影响完全分离,使得协同监测性质与观测质量无关,融合过程不受观测类型和观测系统结构差异的影响,组合后的法方程一般无须迭代解算。
地球形状极移监测基于地球负荷形变理论,采用物理大地测量参数化观测模型式(46)—式(48),而地球自转参数监测采用了3种方案:①动力卫星大地测量方法,采用基于Dirichlet原理的自转形变动力学参数化观测模型。②以地面参考框架核心站和超导重力站连续观测时间序列为观测量,参数化观测模型的性质与①相同。③VLBI运动学参数化观测模型。组合后,就可通过不同性质的参数化观测模型,精确分离形状极移与自转极移,并通过融合VLBI运动学约束,提高自转参数的动力学监测能力。
4 基于多参数联动时序的自转动力学分析
4.1 地球物理激发函数与自转参数分解
将地球物理激发函数ψk分解为负荷变化激发函数和物质运动激发函数
之和,相应地,地球自转参数mk也分解为两者贡献之和
(57)
式中,k=1,2,3。
由式(27)和式(30)可得实测负荷变化激发的无受迫自转运动方程
(58)
式(58)已假设内外力矩等于零,因而σr不是严格意义上的欧拉角频率。假设地球负荷变化可用地表面密度变化表示,则由超低阶重力位系数变化,如最大阶数N=5或10,可按式(59)计算地表面密度变化
(59)
式中,ρw、ρe分别为水的密度和地球平均密度;Δhw为等效水高变化。
对于线性黏弹性形变地球,若假设地球内部形变各向同性且是微小量,垂向物质运动速度等于零,即ur=0,则由固体地球物理学可知,物质运动水平速度(uλ,uφ)与面密度变化ρwΔhw具有相同的球谐级数形式(59),频率和相位一致。再令物质运动加速度,则在任意瞬时(而不同时刻的非线性时变与黏滞性相位特征,已蕴含在实测位系数变化时序中),物质运动速度(uλ,uφ)与等效水高变化Δhw之间的关系就可简化为地转流运动方程
(60)
按式(61)—式(63)计算地球自转的物质运动激发函数[5]
(61)
(62)
(63)
利用式(59)—式(63),就可由实测超低阶位系数变化,推算物质运动激发函数。
4.2 地球自转动力学参数的精密可测性分析
由式(58)可知,形状极移(负荷变化激发)ψm=Δμ1+iΔμ2和物质负荷激发的自转速率变化
,具有唯一性和精密可测性。由式(55)可知,VLBI运动学原理测定的地球自转参数
,也具有唯一性和精密可测性。两类大地测量协同后,物质运动激发的自转速率变化
也具备了唯一性和精密可测性。
式(52)—式(54)中的自转极移(m1,m2),属于动力学监测,周日勒夫数k21,h21受地球物理流体运动摩擦、地幔黏滞性和液核作用,存在某种不确定性。考虑到周日勒夫数不随时间变化,因此若利用3年以上的VLBI运动学与大地测量卫星、ITRF核心站径向位移或超导重力变化的同步观测时间序列,就可估计(精密标定)有效周日勒夫数,
(复数),替换式(52)—式(54)中的k21,h21后,从而显著改善自转极移的精密可测性。
4.3 自转动力学参数优化与进一步研究潜力
这里以钱德勒摆动和地球自转速率变化为例,简要说明实现多种自转动力学参数联动监测后,地球自转动力学研究分析潜力。
4.3.1 地球自转极移(钱德勒摆动)动力学参数估计
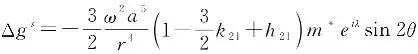
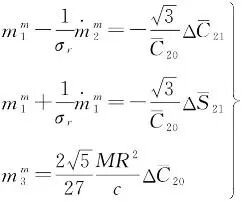
将式(58)代入式(28),顾及式(39),得负荷变化激发的自转极移运动方程为
(64)
式中,为复数形式的周日勒夫数,为待估(精化)不随时间变化的动力学参数。
考察式(64),自转极移时间序列{m1+im2}和负荷变化激发函数时间序列由多种大地测量协同监测,而地球自转极移速率时间序列
可由{m1+im2}直接计算。当同步监测时间序列长度足够时,就可估计周日勒夫数的实部
和虚部
,从而推动钱德勒摆动机制的深入研究,包括地幔黏滞性、液核效应的振幅放大因子和钱德勒摆动的耗散动力学机制等。
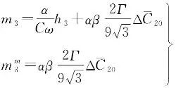
4.3.2 地球自转速率变化动力学参数估计
地球物理激发的地球自转速率变化方程可表示为[4]
(65)
式中,β为考虑海潮摩擦和地幔黏滞性拖曳效应的自转速率变化尺度因子;α表示自转形变耦合使自转速率减小1-α;α、β为待估(精化)不随时间变化的动力学参数。在IERS协议(2010)[4]中,α=0.997,β=0.750。
考察式(65),时间序列与{m3}由多种大地测量协同监测,自转速率变化
可按式(58)由物质负荷
激发确定,而物质运动激发函数时间序列{h3}可在一定的地球物理假设条件下,由监测时间序列计算获得。当监测时间序列足够长时,就可估计自转速率变化尺度因子β和自转形变耦合参数α,从而推动海洋、大气、陆地水等地球流体运动摩擦、地幔黏滞性拖曳效应、核幔耦合和液核效应等动力学机制的深入研究。
更一般地,多种自转动力学参数联动的监测方法,通过最大化地球自转激发和自转运动的大地测量直接观测与时变监测性能,提高自转动力学参数估计和动力学机制研究分析水平,优化地球激发角动量在海陆气及地球各圈层间的交换与耦合机理,解译欧拉-刘维方程作用下的自转耦合、相位延迟和频率共振现象,推动地球自转激发动力学机制的研究不断深入。
5 结束语
本文依据物理大地测量学原理,提出空间几何物理大地测量协同的地固参考系定位定向理论和方法,进而通过统一大地测量和地球自转运动的地固参考系基准,解析各种大地测量要素地球形状极变化与自转运动效应,从而发展地球质心、形状极与多种自转动力学参数联动的监测方法,为深入研究自转激发动力学机制与地球各圈层相互作用营造更有利的科学技术条件。主要结果包括:
(1)推导出空间几何物理大地测量协同的地球质心与形状极定位理论方法。该方法不依赖地球动力学协议和地球自转运动,既能精密监测地球质心变化与形状极移时间序列,也能将当前地固参考系定位定向到指定时间段内的平质心和平形状极。
(2)发展了几何物理大地测量协同的形状极与多种自转动力学参数联动的监测方法,给出了地球卫星观测、VLBI运动学测量、地面径向位移和重力变化协同的地球质心、形状极与多种自转动力学参数联动的监测模型和算法,可有效改善地球自转动力学机理研究的约束条件。
京公网安备 11010802031220号