当前位置: >首页 >测绘智库 >论文摘选
基于重心化的空间坐标转换模型
发布时间:2026-04-29     来源:北京测绘杂志社     作者:胡圣武 李佳康 寇吉祥(河南理工大学 测绘与国土信息工程学院,河南 焦作 454000)      浏览:136次

[摘 要] 为了解决七参数转换模型中计算复杂度高、数值稳定性差等问题,引入重心化技术,在此基础上研究了重心化四参数空间坐标转换,探究重心化后七参数与四参数精度问题。通过Python 语言编写了基于重心化的空间坐标转换程序。实验结果表明,在进行空间坐标转换中重心化能提高转换精度,重心化后四参数与七参数构建的误差方程以及转换坐标精度相当,能满足实际工程精度要求。

[关键词] 空间坐标转换;重心化;Python编程;参数解算;四参数

0 引言

随着测绘科学与地理信息技术的迅猛发展,不同空间多坐标系统间的高精度转换需求在行业内显著增长,这一技术难点已成为国内外学术界重点研究的核心问题[1-4]。目前不同坐标系下的坐标转换工作已开展多年,针对多源坐标系的转换需求,学者对不同精度约束的解算方法进行了深入研究[5-7]。

文献[8]提出了基于学习曲线(learning curve,LC)的坐标重心化转换模型,该模型的特点是结合了线性和曲线特性,能够更好地适应非线性变化的坐标系统,在处理区域性变形较大的测区时表现出较高的精度和稳定性等特征。文献[9]针对传统坐标转换模型在处理病态数据时的不足,研究了顾及病态的融合解算坐标转换模型,引入正则化方法,有效克服了坐标转换中的病态问题,提高了坐标转换的可靠性和稳定性。文献[10]深入分析了坐标转换参数之间的相关性,为合理选择转换参数提供了理论依据,进一步提高了坐标转换的精度和效率。

重心化处理技术在摄影测量中的绝对定位中得到了广泛的应用,它把相对定位好的单元摄影测量模型转换到实地的地面摄影测量坐标系统,其目的主要是:①减少计算模型点的有效位数;②使法方程式的系数简化[11]。因此,重心化处理作为改善坐标转换精度的有效方法,受到了国内学者的广泛关注[12-14]。文献[15]系统研究了重心基准的坐标转换方法,分析了重心化处理对七参数模型的改进效果,结果表明重心化处理能够显著提高坐标转换的精度和可靠性,为大区域坐标转换提供了有效的解决方案。文献[16]提出了基于抗差估计的坐标重心化转换模型,该模型结合了重心化处理和抗差估计技术,能够有效减小粗差对转换结果的影响,提高坐标转换的鲁棒性。文献[17]将加权总体最小二乘方法应用于重心化Bursa 模型中,通过考虑观测向量和系数矩阵的随机误差,弥补了传统最小二乘估计的不足,取得了更加可靠的转换参数。

公共点的优化选择是提高坐标转换精度的另一重要途径[18-19]。文献[20]提出了兼顾位置分布及测量精度的坐标转换公共点优选方法,该方法通过综合考虑公共点的几何分布和测量精度,合理选择和加权公共点,有效改善了坐标转换的整体精度。文献[21]深入研究了加权整体最小二乘理论在坐标转换中的应用,提出了一种考虑系数矩阵和观测向量随机误差的坐标转换模型,该模型能够更加全面地反映误差传播规律,提高转换参数的估计精度。文献[22]详细分析了地方坐标与国家坐标各参数之间的关系,为工程实践中的坐标转换提供了理论指导,促进了不同坐标系统的有效整合和数据共享。

本文研究了一种基于重心化改进的空间坐标转换方法,以解决传统坐标转换技术在实际应用中面临的计算复杂度高、数值不稳定等问题。通过对空间坐标转换的基本原理和重心化技术进行理论分析与阐述,构建完整的数学模型;研究重心坐标平差技术在空间坐标转换中的应用原理与方法;对比研究传统空间坐标转换方法与基于重心化改进方法在精度、效率和稳定性方面的差异,通过理论和实验证明改进方法的优越性;利用Python语言开发实用化的空间坐标转换程序。

1 重心化空间坐标转换方法

1.1 七参数空间转换模型

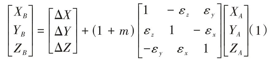
布尔莎转换模型(七参数转换模型)是将一种三维坐标通过3个平移参数将两个坐标系的坐标原点重合,通过3 个旋转角使坐标之间平行。由于不同的坐标系的尺度是不一样的,所以通过1 个尺度参数使两个坐标系保持相同的尺度,这种通过7个转换参数达到坐标转换的方法通常称为七参数转换,其计算公式为

图片

式中,XA、YA、ZA 和XB、YB、ZB 分别为OA - XAYAZA、OB - XBYBZB 坐标系下的空间直角坐标;ΔX、ΔY、ΔZ 为3 个平移参数;εx、εy、εz 为3 个旋转参数;m为尺度变化参数。该模型任意一点的坐标都受平移因子、旋转因子和尺度因子的影响。

传统空间坐标转换方法在处理大规模空间数据或高精度要求的测绘工程中存在明显局限性。首先,常规的七参数法坐标转换模型通常采用直接解算方程组的方式,当公共点数量较大时,计算量呈指数级增长。

1.2 重心化技术及其优势

重心化技术是在空间坐标转换中引入的一种数值计算技术,核心是通过将原始坐标平移到各点坐标平均值处,从而消除参数之间的强相关性。在测绘领域中,由于观测点的空间坐标值通常较大,直接进行坐标转换计算时,容易导致法方程系数阵病态,进而影响参数解算的精度和稳定性。

重心化处理将坐标系原点平移至所有参与计算点的几何中心位置,转换后的坐标相对量级显著降低。假设有n个同名点,其在原坐标系中的坐标为图片,那么其重心坐标图片计算公式为

图片

式中,i 表示同名点的编号。重心化技术的优势集中体现在以下方面。

1)通过坐标系平移变换实现数据归一化处理,使得原始观测值的数量级显著降低,有效缓解法方程矩阵的病态特性,大幅增强数值解算的稳健性。

2)重构后的坐标体系削弱了空间位置参数之间的统计相关性,各转换参数呈现准独立状态,减少了参数间的耦合影响。

3)重心化思想通过消除参数间的耦合和明确几何中心,解释了参数(如平移、旋转、缩放)的物理意义,在实际应用过程中便于分析参数对结果的影响。

1.3 七参数重心化坐标转换

1.3.1 模型参数化

重心化空间坐标转换模型的参数化是解决传统转换模型数值不稳定问题的关键步骤。在七参数模型中,由于坐标值通常较大,影响解算精度。通过引入重心坐标,可以有效改善计算条件,提高数值稳定性。

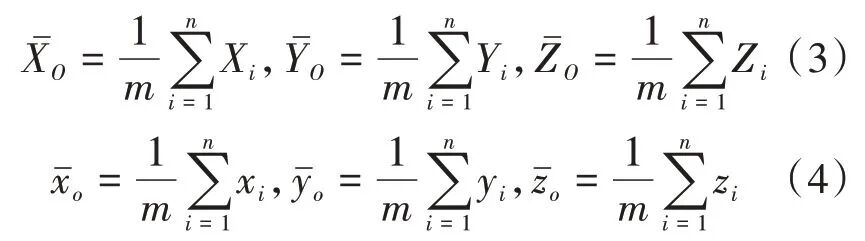
重心化处理首先需要计算两坐标系中所有公共点的坐标均值,即重心坐标。设目标坐标系中m 个公共点坐标为(Xi,Yi,Zi),源坐标系中对应点坐标为(xi,yi,zi),则其重心坐标计算分别为

图片

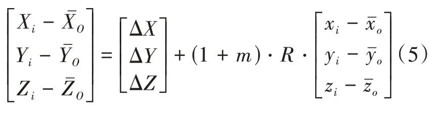
式中,图片为目标坐标系的重心坐标;图片为源坐标系的重心坐标。基于重心坐标,七参数转换模型可表示为式(5),其意义如表1所示。

图片

表1 重心化模型的参数及其物理意义

图片

1.3.2 误差方程的构建

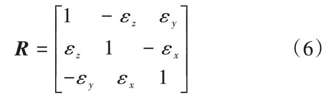
基于重心化的坐标转换模型,需要构建合适的误差方程以便于参数解算。考虑旋转角通常较小,可采用微小角近似处理,将旋转矩阵R 线性化表示为

图片

将线性化后的旋转矩阵代入重心化转换模型,并考虑到实际观测中存在误差,得到误差方程为

图片

式中,Vi为残差向量;A为系数矩阵;图片为待求参数向量;Li为常数项向量。对于每一个公共点,系数矩阵A和常数项向量L的构成如表2所示。

表2 误差方程中系数矩阵和常数项的构成

图片

表2 中图片 表示相对于重心的坐标差值。采用重心化处理后,显著改善了数值计算的稳定性。

1.3.3 参数估计与精度评定

采用最小二乘法对重心化空间坐标转换模型进行参数估计,根据间接平差原理,参数估计值、参数估计值的精度、单位权中误差为

图片

式中,P 为观测值的权矩阵;A 为系数矩阵;图片表示估计值的方差矩阵;图片表示单位权方差。

转换模型精度评定包括模型的内、外符合精度,其评定公式为

图片

式中,V 为参与转换参数计算的公共点转换坐标与原坐标的差值;n为公共点个数。

图片

式中,V'为未参与转换参数计算的公共点转换坐标与原坐标的差值;r为检核点个数。

1.4 重心化四参数坐标转换

1.4.1 模型参数化

重心化四参数坐标转换首先需要计算两坐标系中所有公共点的坐标均值,即重心坐标,此方法不考虑平移因子。设目标坐标系中n个公共点坐标为(Xi,Yi,Zi),源坐标系中对应点坐标为(xi,yi,zi),则按式(3)和式(4)分别计算其重心坐标。

基于重心坐标,四参数转换模型为式(13),其具体物理意义如表3所示。

图片

表3 重心化四参数模型的参数及其物理意义

图片

1.4.2 误差方程的构建

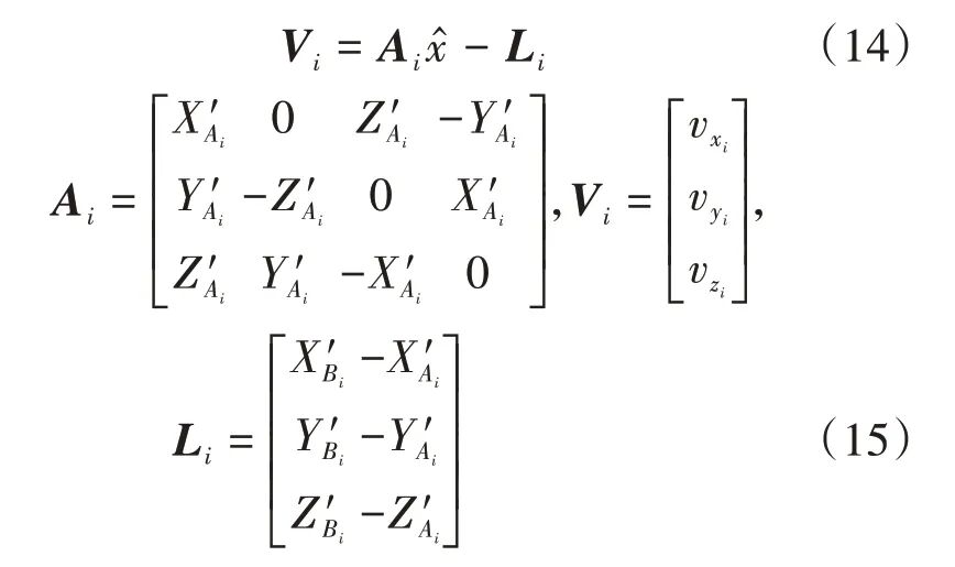
线性化后的旋转矩阵代入重心化转换模型,并考虑到实际观测中存在误差,可得到误差方程为

图片

式中,Vi 为残差向量;Ai为系数矩阵图片̂为待求参数向量;Li为常数项向量;图片为公共点在A 坐标系下的重心化坐标;图片为公共点在B 坐标系下的重心化坐标;图片为第i 个同名点的三个坐标误差。

1.4.3 参数估计与精度评定

其计算公式与七参数重心化坐标转换公式基本一致,主要是系数矩阵A 不一样,在此不再列举其计算公式。

2 实例分析

2.1 Python语言特性

近年来,Python 作为一种高级解释型编程语言,在多个行业得到广泛应用。Python 简洁的语法和动态特性使得开发者能够以更少的代码实现更为复杂的坐标转换算法,可提高开发效率并降低出错概率。在重心化空间坐标转换等高复杂度计算中,需要进行大量的矩阵运算和参数估计,Python 的NumPy 和SciPy 等科学计算库提供了高效稳定的矩阵和数值计算功能,极大地简化了实现难度。使用Python 的NumPy 库,只需一行代码即可完成复杂的矩阵运算,大大降低了编程门槛。此外,Python 还支持与C/C++等底层语言的无缝集成,能在保证开发效率的同时充分发挥底层代码的性能优势。

因此,本文编程选用Python语言。

2.2 实验数据

全球定位系统(global navigation satellite system,GNSS)GNSS 控制网平差后获得各点在1984 世界大地坐标系统(World Geodetic System-84,WGS-84)(X84Y84Z84) 和1980 西安坐标系(X80Y80Z80),如表4所示。取其中的7 个点作为转换公共点,点号分别为1、2、3、4、5、6、7,其余3个点作为检核点,并保证在7个公共点的范围之内。具体实验数据如表4所示。

表4 已知点坐标 单位:m

图片

2.3 程序结果

本次实验采用对比分析的方法,通过对比普通七参数转换和重心化的空间坐标转换,以及重心化四参数的单位权中误差来分析实验,具体运行结果如下:其中,表5表示七参数空间坐标转换的点位;表6表示重心化七参数空间坐标转换的点位;表7表示重心化四参数空间坐标转换的点位。

表5 七参数空间坐标转换坐标 单位:m

图片

表6 重心化七参数空间坐标转换坐标 单位:m

图片

表7 重心化四参数空间坐标转换坐标 单位:m

图片

3 结果分析

为对比各种方法的精度,本文使用单位权中误差以及内外符合精度进行检验,表8 是三种方法的单位权中误差以及内部符合精度和外部检核精度。

表8 不同方法及其精度 单位:mm

图片

4 结束语

本文通过分析常规七参数空间坐标转换存在的不足,旨在解决常规七参数转换中计算复杂度高、数值稳定性差等问题。首先进行了重心化七参数程序设计。在此研究的基础上寻求更为简单的方法,故研究了一种重心化四参数的空间坐标转换,即在不考虑三个平移因子的条件下只考虑三个旋转因子以及一个尺度因子的误差方程。通过程序编程设计了三种方法,分别为常规的七参数空间坐标转换法、重心化七参数空间坐标转换法、重心化四参数空间坐标转换法,通过实验数据对比分析三种方法的精度。结果表明,重心化能显著提高坐标转换精度。在重心化后,构建四参数与七参数在结果上无太大差距。因此,在实际应用中,在特定条件下可优先考虑四参数方法。


DOI: 10.19580/j.cnki.1007-3000.2026.02.019

[收稿日期] 2025-05-27

[基金项目] 国家自然科学基金(42204040)

[作者简介]

胡圣武(1970—),男,湖南津市人,博士,副教授,从事空间数据的基础理论和图像处理技术以及平差研究。

E-mail: hushengwuzhu@163.com


主管部门:
自然资源部
民政部
中国科协
京ICP备14037318号-1 京公网安备 11010802031220号
主办:中国测绘学会    技术支持 :江苏润溪时空智能科技股份有限公司
联系电话:010-63881345      邮箱地址:zgchxh1401@163.com
联系地址:北京市海淀区莲花池西路28号西裙楼四层